Regression 7) NonLinear Regression Funcion
오타
- X : Δy=f(x1+Δx2,x2,x3,…,xk)−f(x1,x2,…,xk)
- O: Δy=f(x1+Δx1,x2,x3,…,xk)−f(x1,x2,…,xk)
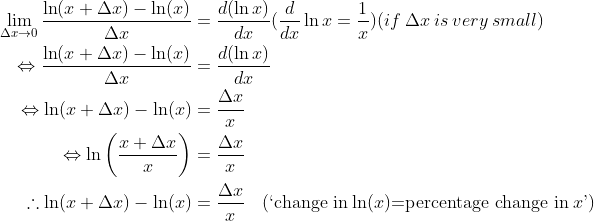
증명: 로그 함수에서의 변화량 = 변하는 percantage 정도
.png)
.png)
오타
- X : choose alternative
- O : choose null
오타
증명: 로그 함수에서의 변화량 = 변하는 percantage 정도
.png)
.png)
오타
댓글남기기